皇后盃 第44回全国女子駅伝 オーダーリスト発表
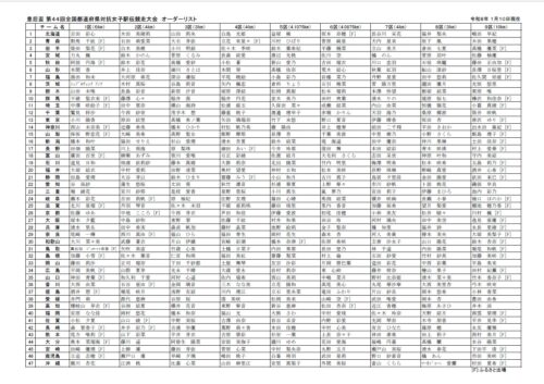
明日1月11日(日)開催の第44回全国都道府県対抗女子駅伝競走大会のオーダーリストが発表されました。
こちらからご確認ください。
※1月11日(日)オーダー変更がありました。
確定版のオーダーリストはこちら。
皇后盃第44回全国女子駅伝オーダー(当日変更)
明日1月11日(日)開催の第44回全国都道府県対抗女子駅伝競走大会のオーダーリストが発表されました。
こちらからご確認ください。
※1月11日(日)オーダー変更がありました。
確定版のオーダーリストはこちら。
皇后盃第44回全国女子駅伝オーダー(当日変更)